

Az Országos Vízjelző Szolgálat feladatát az ISO 9001:2000 számú szabvány követelményeinek megfelelően végzi.
A kiadott előrejelzések pontosságát és hatékonyságát naponta objektív statisztikai mérőszámok alapján értékeli.
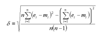
Az értékelés elvégzéséhez különféle hibastatisztikák és beválási tényezők állnak rendelkezésre. Kiszámításra kerül a hatékonysági mutató, a minimum, átlagos és maximum hiba, az abszolút közepes hiba, a szórás, a négyzetes középhiba, a Nash-Sutcliffe-féle hatékonyság és a hibák autokorrelációja. Ezek közül részletesebben kettő: (1) a hatékonysági mutató és (2) a szórás vizsgálata olvasható az alábbiakban. A hatékonysági mutató a következő alakban írható fel:

ahol ei az előrejelzett, mi a megfigyelt érték és mi-l az l időlépéssel előbbi megfigyelt érték. Ezen beválási tényező esetében egy adott hibastatisztikát osztunk el egy referenciaszint hibastatisztikájával, majd az eredményt kivonjuk egyből, mely értéknek képezzük a négyzetgyökét. A refenciaszintet a megmaradási hajlam alapján számítjuk. A szórás (torzítatlan szórás) pedig a
alakban írható fel.
Az értékelés a 2004-es év januártól októberig tartó időszakára készült a vízállás alapján. A különböző színek használatával jól szemléltethetők az egyes beválási tartományokba tartozó értékek. A zöld szín a legjobb, a sárga az elfogadható, míg a piros a legrosszabb kategóriát jelöli. A kategóriák meghatározása a 0,3 és 0,68 értékekkel történt. A hatékonysági mutató 0 és 1 közötti értékeket vehet fel. Minél közelebb van az 1-hez, annál jobb az előrejelzés beválása.
A Duna magyar szakaszán (1. táblázat), folyásirányban lefelé haladva már Budapesttől a 6 napos -és természtesen az ennél rövidebb időelőnyű - előrejelzés értékei is a legjobb kategóriába esnek. Sőt még a legfelső vízhozamgörbével rendelkező magyarországi szelvény, Gönyű esetében is elfogadható a 6 napra történő előrejelzés.

1. táblázat A dunai előrejelző rendszer magyarországi, dunai szelvényeinek hatékonysági mutatói az időelőny függvényében
Hasonlóan a hatékonysági mutatónál alkalmazott ábrázoláshoz, három kategória lett megkülönböztetve. A zöld szín a legjobb, a sárga az elfogadható, míg a piros a legrosszabb kategóriát jelöli. A szórás esetében a kategóriák határaiként a 20 és az 50 cm-es értékek szerepelnek. Minél közelebb van a szórás értéke a 0-hoz, annál jobb az előrejelzés beválása. Az előrejelző rendszerben a Duna magyar szakaszán a vízhozamgörbével rendelkező szelvényeket tekintve elmondható (2. táblázat), folyásirányban lefelé haladva már Nagymarostól (Fadd-Domborit kivéve) az 1 napra történő előrejelzés szórása 10 cm alatti és még 3 napra előre is a legjobb kategóriába esnek.

2. táblázat A dunai előrejelző rendszer magyarországi, dunai szelvényeinek szórásai az időelőny függvényében